Summary Function Types

 

<< Click to Display Table of Contents >>

Navigation:  Dashboard Designer > Data Shaping >  Summarization >

Summary Function Types

 

 

Summary Function Types

The following summary functions are available.

SFT1 Count - The number of values (excluding Null and DBNull values).

This is the only summary type that can be calculated against non-numeric data.

Count Distinct - The number of distinct values.

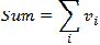
Sum - The sum of the values.

SFT2

Min - The smallest value. Max - The largest value.

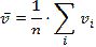
Average - The average of the values.

SFT3

StdDev - An estimate of the standard deviation of a population, where the sample is a subset of the entire population.

 

SFT4

 

StdDevP - The standard deviation of a population, where the population is the entire data to be summarized.

SFT5

Var - An estimate of the variance of a population, where the sample is a subset of the entire population.

SFT6

VarP - The variance of a population, where the population is the entire data to be summarized.

SFT7

Median - The median of the values (excluding Null and DBNull values). A median is the number separating the higher half of a value range from the lower half.

SFT7